Rate my handwriting

✨ Upload a sample of your handwriting, and our 🤖 AI will give you
the scoop on
what's awesome
and what could use a
little improving.
It's just for fun - and totally free! Try now 🚀
(You can also check out today's 👑 Leaderboard 👇)

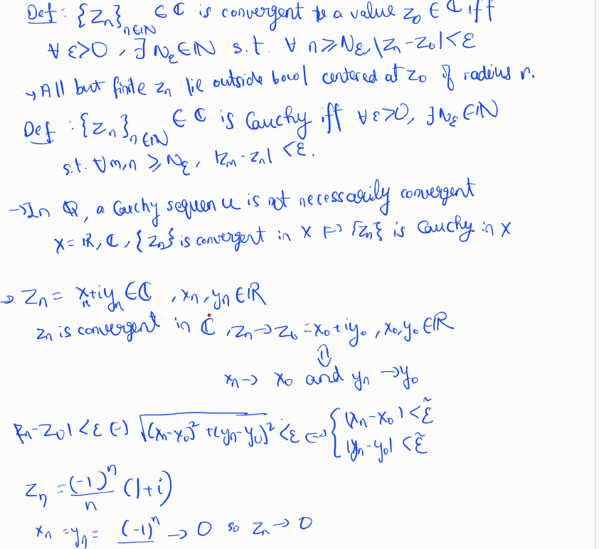
The Mathematician's Quill
This handwriting prioritizes legibility and clarity, hinting at a methodical and analytical personality. Some adjustments to pressure and rhythm could enhance its expressiveness.
The handwriting exhibits a functional, almost utilitarian style. There is a clear emphasis on legibility, which is crucial for conveying complex mathematical concepts. The forms of the letters are generally simple and unadorned, prioritizing clarity over aesthetic flourish. Note the deliberate strokes in symbols such as the '∀', '∃', and '∈', which suggests carefulness and precision.
This style suggests a personality that values accuracy, clarity, and perhaps a degree of formality. The writer likely approaches tasks methodically, with an eye for detail and a preference for order. There may be a tendency towards analytical thinking and a pragmatic approach to problem-solving. The even spacing between characters suggests a controlled and thoughtful nature.
To improve the handwriting, consider varying the pressure applied to the pen to create a more dynamic and expressive line. Practicing rhythmic drills can also help to improve the overall flow and consistency of the writing. Incorporating slight variations in letterforms could also add a personal touch without sacrificing legibility.
Legibility
Expressiveness
Consistency
Overall
Leaderboard for Sunday, 19 October 2025
1 | The Calligrapher |
73
|
2 | The Ledger's Legacy |
73
|
3 | The Artful Articulation |
73
|
4 | The Organized Alchemist |
73
|
5 | The Algebraic Architect |
72
|
6 | The Insurance Investigator |
70
|
7 | The Mathematician's Quill |
68
|
8 | The Benevolent Retriever |
68
|
9 | The Night Writer |
68
|
10 | River's Flow |
67
|
11 | The Flowing Pen |
67
|
12 | The Optimistic Artisan |
66
|
13 | The Quiet Guardian |
66
|
14 | The Diligent Student |
66
|
15 | The Ambitious Calligrapher |
65
|
16 | The Elegant Calligrapher |
65
|
17 | The Pragmatic Pupil |
64
|
18 | The Empathetic Communicator |
64
|
19 | The Eloquent Arsonist |
63
|
20 | The Voyager's Quill |
63
|
21 | The Artful Instructor |
61
|
22 | The Outraged Author |
60
|
23 | The Flowing Stream |
60
|
24 | The Elegant Narrator |
60
|
25 | The Flowing Stream |
60
|
26 | The Perfume Critic |
59
|
27 | The Dreamer's Quill |
58
|
28 | The Earth Explorer |
58
|
29 | The Cursive Contemplator |
56
|
30 | The Energetic Numerator |
56
|